Il senso perfetto
di odori improbabili e puzze (im)possibili
Vai al contenuto
Menu principale
Vedi alla voce naso – About smell
About me
Art a part – L’arte da parte
Readings
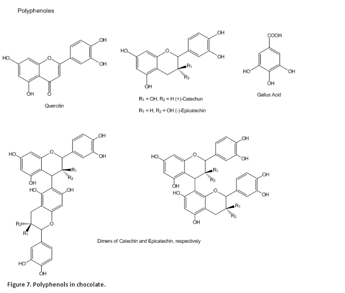
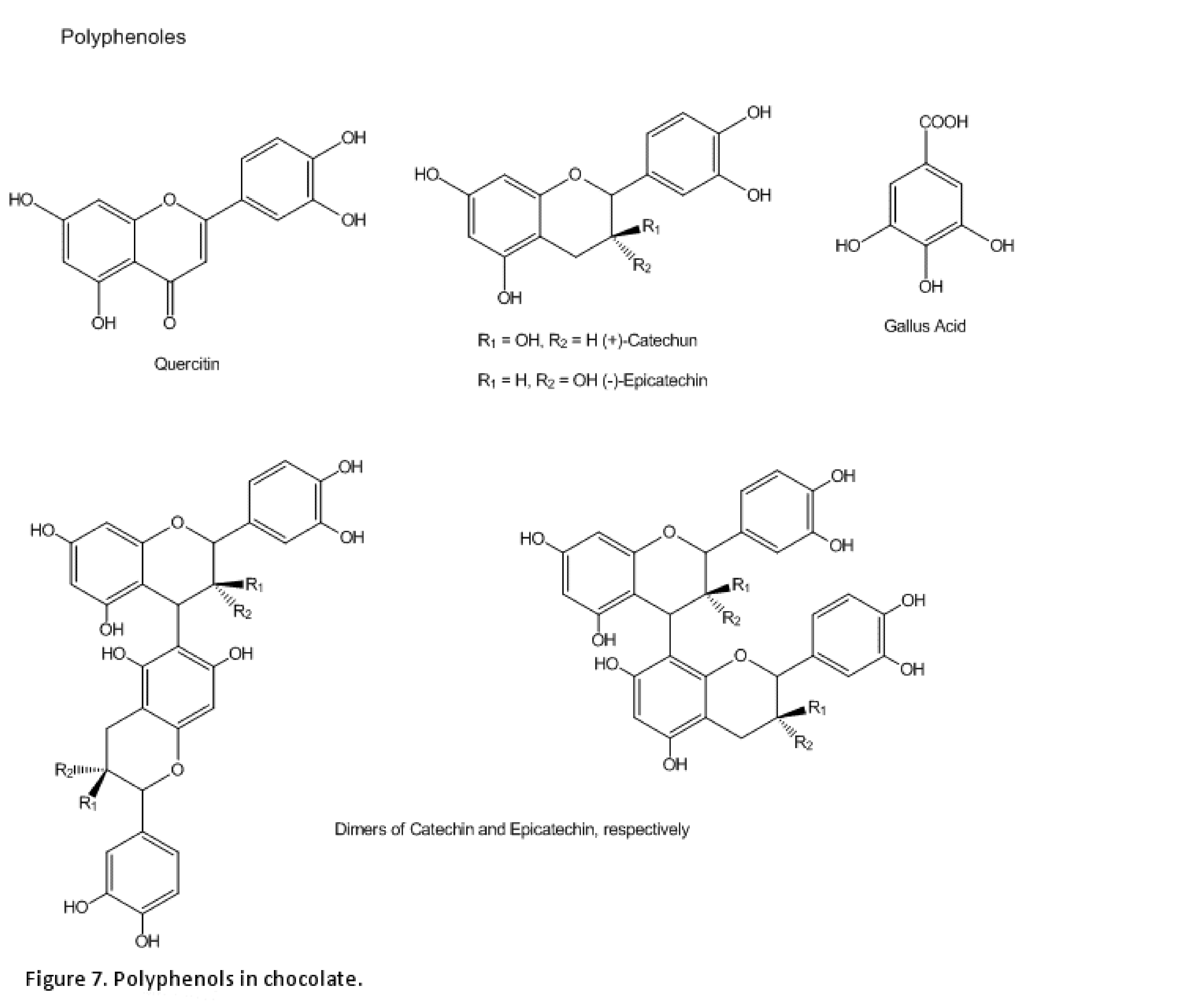
Figure_7(1)
Published
1 febbraio 2016
at
5906 × 5019
in
Un aroma divino – terza parte
← Precedente
Lascia un commento
Cancella risposta
Δ
Commenta
Abbonati
Abbonato
Il senso perfetto
Unisciti ad altri 155 abbonati
Registrami
Hai già un account WordPress.com?
Accedi ora.
Il senso perfetto
Abbonati
Abbonato
Registrati
Accedi
Copia shortlink
Segnala questo contenuto
Visualizza articolo nel Reader
Gestisci gli abbonamenti
Riduci la barra